Doktor i nationalekonomi; forskar om regionala förutsättningar för ekonomisk utveckling, gillar att resa och upptäcka nya platser.
Segregation och sysselsättning i Jönköping (Del 2)
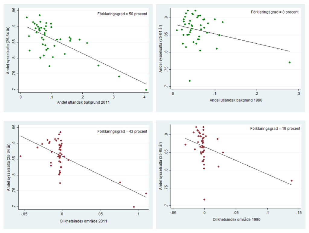
I mitt blogginlägg om Linköping hävdade jag att den ökade segregationen beror på att individer med utländsk bakgrund flyttar till områden med lägre socio-ekonomisk status, medan individer med inhemsk bakgrund flyttar därifrån. Dessa områden karaktäriseras ofta av hög andel hyresrätter, socialt utanförskap och hög arbetslöshet. Jag har i tidigare blogginlägg för Sverige som helhet visat på ett negativt samband mellan segregation och sysselsättningsgrad på områdesnivå, det vill säga att i områden som har ett högre värde på olikhetsindexet eller där det bor en högre andel med utrikes bakgrund är en mindre andel av befolkningen i arbete. Jag har även visat att detta samband blir starkare med tiden. Figurerna nedan visar att dessa två observationer även håller för de 45 områdena i Jönköpings arbetsmarknadsregion. Figurerna på vänster sida visar läget 2011 medan figurerna på höger sida illustrerar 1990 års värden.

De gröna och röda prickarna i figurerna visar de faktiska värdena för områdena medan den svarta trendlinjen visar det förväntade värdet på andelen sysselsatta, givet områdets grad av segregation. Figuren i vänstra hörnet anger en förklaringsgrad på 50 procent, vilket innebär att hälften av variationen i sysselsättningsgrad kan förklaras av variationen i andel utländsk bakgrund (och tvärtom!). Gällande olikhetsindexet visar figurerna att många områden ligger nära noll, vilket innebär att ungefär lika stor andel av regionens individer från båda grupperna (inhemsk respektive utländsk bakgrund) bor där.
Om alla områden inom regionen haft värdet noll hade den geografiska fördelningen av regionens individer med utländsk respektive inhemsk bakgrund varit densamma och segregationen hade varit obefintlig. Nu är så inte fallet och vad som är tydligt från figurerna är att det framför allt är tre områden som driver det negativa sambandet för 2011, tre områden som har både relativt låg sysselsättningsgrad och relativt hög grad av segregation. Dessa områden är Ljungarum, Huskvarna och Kristina.
Genom att jämföra förklaringsgraderna mellan vänstersidan och högersidan kan man också konstatera att sambandet mellan sysselsättning och segregation har blivit starkare med tiden, vilket stämmer överens med bilden för Sverige som helhet. Vad som är särskilt intressant från denna jämförelse är att det 1990 endast är ett område som utmärker sig, nämligen Ljungarum. Vid denna tidpunkt var Ljungarum ensamt om att ha en oproportionerligt stor andel av regionens individer med utländsk bakgrund, givet sin storlek. 2011 delar man alltså detta med Huskvarna och Kristina, där Huskvarna till och med har gått om Ljungarum i olikhet.
Även om boendemönstren inte är riktigt lika tydliga för Jönköping som för Linköping, vilket delvis kan bero på att församlingar fångar faktiska bostadsområden bättre i Linköping än i Jönköping, är slutsatserna desamma. Det sker en ökad koncentration av individer med utländsk bakgrund till vissa områden, det vill säga segregationen ökar. Tidigare forskning pekar på att detta inte nödvändigtvis är negativt eftersom det kan skapas lokala sociala nätverk inom grupper av människor med liknande bakgrund, vilket kan leda till ökad informationsspridning om sysselsättningsmöjligheter, samt att samarbeten och företag, och därmed jobb, skapas. Det kraftigt negativa sambandet mellan segregation och sysselsättningsgrad som jag visar på i både detta och tidigare blogginlägg ger dock indikationer om att segregation framför allt har en negativ påverkan på individers möjligheter till sysselsättning. Genom att sysselsättning är centralt för människors möjligheter till konsumtion och välfärd, samtidigt som landets ekonomiska utveckling är beroende av att människor är i arbete, är det kanske dags för politiker att på allvar våga ta i den växande segregationen, eller med andra ord; integrationspolitiken.
Övriga bloggposter på temat segregation:
Karlshamn sticker ut i ett allt mer segregerat Sverige.
Segregation och sysselsättning
Toppen (och botten) i segregationsligan. Karlshamn sticker ut.
Linköping – regionen där segregationen ökar mest
Detta är en bloggtext. Det är skribenten som står för åsikterna som förs fram i texten, inte Jönköping University.
